-Cleglaw- Mesaj tarihi: Haziran 2, 2007 Mesaj tarihi: Haziran 2, 2007 lütfen bi bakın. cevaplarsanız sevinirim (:
Fistan Mesaj tarihi: Haziran 2, 2007 Mesaj tarihi: Haziran 2, 2007 sin34 : 0,55919290347074683016042813998599 sin22 : 0,3746065934159120354149637745012 abi başlat>tüm programlar>donatılar>hesap makinası x türü ne ya? [ Mesaj 02 Haziran 2007, Cumartesi - 23:09 tarihinde, Fistan tarafından güncellenmiştir ]
Horrible Mesaj tarihi: Haziran 2, 2007 Mesaj tarihi: Haziran 2, 2007 yarım açı cart curt formülleri vardı bunnarın... =p
dory Mesaj tarihi: Haziran 2, 2007 Mesaj tarihi: Haziran 2, 2007 said: dory acilimlari hatirlamiyorum tam da sin(90-22)=sin(34x2) den yapabilirsin biri sin(a-b) nin acilimindan digerini de sin2a nin acilimindan yap esitle, esya topluyorum yoksa ugrasirdim :) garbıca actigin konuya yazdim. neden 10 yere aciyosunuz arkadasim!!1
synorin Mesaj tarihi: Haziran 2, 2007 Mesaj tarihi: Haziran 2, 2007 Sin22=Cos68 Cos68=1-2.sin'34('=2) sin34=x olduğuna göre; 1-2x' ('=2 yani 2. kuvveti) :D:D [ Mesaj 02 Haziran 2007, Cumartesi - 23:17 tarihinde, synorin tarafından güncellenmiştir ]
-Cleglaw- Mesaj tarihi: Haziran 2, 2007 Konuyu açan Mesaj tarihi: Haziran 2, 2007 teşekkürler (: garbıça bu arada yazdım çünkü çok basit bi soru falan şimdi ezer millet diye çekindim önce. neyse aldım cevabımı teşekkürler tekrar..
DoruK Mesaj tarihi: Haziran 2, 2007 Mesaj tarihi: Haziran 2, 2007 ayy trigonometri öğk öss de de çıkacak bu pehh iğrenç
-Cleglaw- Mesaj tarihi: Haziran 2, 2007 Konuyu açan Mesaj tarihi: Haziran 2, 2007 yeni soru :D cos18=m, sin26-sin24=? m cinsinden değeri? ('=kare demek)
Ninlempis Mesaj tarihi: Haziran 2, 2007 Mesaj tarihi: Haziran 2, 2007 casio algebra fx 2.0 plus işini fazlasıyla görür.
attackhan Mesaj tarihi: Haziran 2, 2007 Mesaj tarihi: Haziran 2, 2007 oha cos18 sorusu zor. =) kasıorum 5-10 dakkadır du baqalm
robinson Mesaj tarihi: Haziran 2, 2007 Mesaj tarihi: Haziran 2, 2007 bende baktım da çıkmıyor ya. Bulamadım...
LucifeL Mesaj tarihi: Haziran 2, 2007 Mesaj tarihi: Haziran 2, 2007 yok öle bişi kasmayın abi ahaha :) [spo]edit:sanki çok anlıyorumda konusuyorum bende !!11 :)[/spo]
dasaaa Mesaj tarihi: Haziran 2, 2007 Mesaj tarihi: Haziran 2, 2007 0,032438283 ???? (bu ne ki bu ki? bi de niye ki?)
-Cleglaw- Mesaj tarihi: Haziran 4, 2007 Konuyu açan Mesaj tarihi: Haziran 4, 2007 çok pardon ya ): hatalı sormuşum cos18=m, sin'6-sin'24=? m cinsinden değeri?
DoruK Mesaj tarihi: Haziran 4, 2007 Mesaj tarihi: Haziran 4, 2007 la ben uğraştım çözemedim bi de geometriciye götürdüm bi ton küfür yedim utanmıyo musun hatalı soru yazmaya!!!!111!!11!1 *edit: üç kat formülleri var iki dakkada çıkıo onlarla. [ Mesaj 04 Haziran 2007, Pazartesi - 21:54 tarihinde, DoruK tarafından güncellenmiştir ]
-Cleglaw- Mesaj tarihi: Haziran 4, 2007 Konuyu açan Mesaj tarihi: Haziran 4, 2007 eheh.. pardon cidden :) sorunun cevabı lazım yazabilirseniz çok süper olurdu : D olsun işte boşver kasmışsın istersen çok zor sorularda getiirirm olimpiyat falan (:
Suark Mesaj tarihi: Haziran 4, 2007 Mesaj tarihi: Haziran 4, 2007 ya sin ve cosun 0.17 olarak artması lazım her basamakta. Bi bak bakalım oranını al sonra
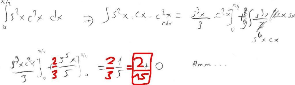
MrLevie Mesaj tarihi: Haziran 4, 2007 Mesaj tarihi: Haziran 4, 2007 integral 0 dan pi/2 'ye; cos³x.sin²x.dx =? arkadaşlar ben inatla 1/6 buluyorum başkasını bulabilecek var mı? [ Mesaj 04 Haziran 2007, Pazartesi - 22:38 tarihinde, MrLevie tarafından güncellenmiştir ]
Fly Mesaj tarihi: Haziran 4, 2007 Mesaj tarihi: Haziran 4, 2007 @ mrlevie : sin^2x i (1-cos^2(x)) cinsinen yazıp çıkabilirsin gibime geliyor. akabinde 0 buldum da yanlış olabilir. [ Mesaj 04 Haziran 2007, Pazartesi - 23:04 tarihinde, Fly tarafından güncellenmiştir ]
Ninlempis Mesaj tarihi: Haziran 4, 2007 Mesaj tarihi: Haziran 4, 2007 bende 19/120 buldum. 1/6 ya yakın gibi :)
Sailor Mesaj tarihi: Haziran 4, 2007 Mesaj tarihi: Haziran 4, 2007 mrlevie hesap makinesi: 3.932*10^-4 diyor
Fly Mesaj tarihi: Haziran 4, 2007 Mesaj tarihi: Haziran 4, 2007 ben de 2/15 buldum. ühühüh //_; [spo][/spo] atladığım kısımlar olabilir. [ Mesaj 04 Haziran 2007, Pazartesi - 23:27 tarihinde, Fly tarafından güncellenmiştir ]
Dregoth Mesaj tarihi: Haziran 4, 2007 Mesaj tarihi: Haziran 4, 2007 Tey tey pati ne hale gelmiş. Artık herkes o kadar ayar verme derdindeki millet paranoya olmuş. said: -Cleglaw- demişki teşekkürler (: garbıça bu arada yazdım çünkü çok basit bi soru falan şimdi ezer millet diye çekindim önce. neyse aldım cevabımı teşekkürler tekrar..
Öne çıkan mesajlar